| 羥丙甲基纖維素 | ||||||||||||||
|
| 參考價格 |
| 編號 | 含量 | 規格 | 包裝 | 價格 | 產地 | 備注 |
| Y0840 | 低粘度 40~60 mpa.s | 250g | 190 | 進分 | ||
| Y0840 | 中粘度 5500-6500 mpa.s | 250g | 160 | 進分 | ||
| Y0840 | 高粘度 30000 mpa.s | 250g | 210 | 進分 |
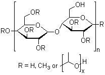
外觀:類白色粉末。
儲存條件:RT
用途:應用于合成樹脂,石油化工,陶瓷,造紙,皮革,紡織印染,醫藥,食品,化妝品和其他日用化學品,作分散劑,增稠劑,粘結劑,賦形劑,膠囊。
其它規格請按需詢價
羥丙甲基纖維素 Hydroxy methyl cellulose


